Sigma Notation
Home > Lessons > Sigma Notation
Search | Updated June 20th, 2017
Introduction

    In this lesson, you will learn how to work with sigma notation. Here are the sections in this lesson.




    When we add lists of numbers, each of those lists of numbers is called a series.

    For instance, if a frog moves 12 inches in the first minute, 15 inches in the next minute, and 18 inches in the third minute and follows this pattern for 20 minutes, we may want to know how much distance the frog travels for those 20 minutes. The series would look like this.

arithmetic series

    This series does not continue on forever. It ends at its 20th number.

    You may recognize this to be an arithmetic series (see Arithmetic Sequences and Series) because the common difference is equal to 3.

    We could find the 20th term, once we gain a formula for the nth term. The formula for the nth term is...

arithmetic series formula

...where a1 is the first term and 'd' stands for the common difference. So our general term is...

arithmetic series term formula

    Now we can find the last term, the 20th term of this series.

arithmetic series 20th term

    Now we know that our series looks more like this.

arithmetic series including last term

    In our next section, we will see how this series can be expressed in sigma notation.


    Sigma Notation looks like this.

sigma notation basics

    The i-value is the initial value or starting value. The f-value is the final value or ending value. The expression refers to a mathematical expression, which we call a function (see Functions). The giant-sized "E" is the Greek symbol sigma.

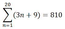
    For the frog series that we were working on in our last section (see Series of Numbers), we can write the series using sigma notation, like so.

sigma notation example

    If we were to plug in the starting value, n = 1, into the expression and evaluate it, we would get 12. Twelve is the first term of our series. Likewise, if we were to plug in n = 2 into the expression, evaluating it would yield 15. Plugging in n = 20 into the function yields 69.

    The sigma means we must find the sum of all those values, or...

sigma notation expanded

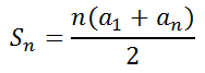
    Luckily, there is a formula that we can use to find this sum, which is this formula.

formula arithmetic series sum

    Plugging in the relevant values gives us this.

series sum calculation

    Therefore...

sigma notation with sum




    Try these lessons, which are related to the sections above.

    esson: Functions
    esson: Arithmetic Sequences and Series
    esson: Sigma Notation: Arithmetic Series
    esson: Sigma Notation: Geometric Series