Limits: Numerical Approach
Home > Lessons > Limits: Numerical Approach
Search | Updated July 28th, 2023
Introduction

    This lesson page will inform you how to find various limits of piecewise functions. Here are the sections within this page:

    Before getting started, please familiarize yourself with our previous three lessons regarding limits. These lessons are essential for understanding the following sections within this lesson page.

    esson: Limits of the Extreme
    esson: Limits of Ratios of Polynomials
    esson: Limits of Piecewise Functions


    In a nutshell, the act of pursuing a limit is to get closer and closer to an x-value of a function while observing the y-values to determine if there is a trend. If we approach the x-value from the left get a certain y-value value and approach the same x-value from the right and get an equal y-value, we say the function has a limit.

    Only when the two trends match do we say there is a limit and assign it to that y-value trend.

    For instance, if we wanted to find the limit...

limit of f(x) as x approaches 2

...we would have to approach the x-value 2 from the left and the right. To approach the x-value 2 from the left, we could use this table.

table of limit as x approaches 2 from left

    Notice these two points:

  • The x-values are getting closer and closer to 2 within the table.
  • The y-value is incalculable for the x-value 2 because division by zero is not allowed.
    Likewise, we can approach the x-value 2 from the right by using this table.

table of limit as x approaches 2 from right

    Starting with the x-value 2.1 and working left, we can see that the x-values are getting closer and closer to the x-value 2.

    By evaluating the expression at each of those values in both tables, we can determine what the trend is for the y-values. We will continue this process within the next section.


    Within the last section (see Pursuing Limits) we began a process for viewing a trend in y-values as we approached a certain x-value, which was 2.

    This section is labeled as 'Difficult Cases' because the limit at the x-value 2 is not easy to find by simply evaluating the function at the x-value 2. This is so because the function is undefined at the x-value 2. This is why we are using this numerical approach.

    Here is the problem we were working on the last section.

limit of a function as x approaches 2

    Continuing with our numerical approach from the last section, we will fill in the rest of the tables. To do so, we need to plug in x-values within the function. Leaving the calculation to the reader, we gain these values for the finding the limit as we approach the x-value 2 from the left.

numerical limit of function as x approaching 2 from left

    Here is the other table, which approaches the x-value 2 from the right.

numerical limit of function as x approaching 2 from right

    When we place these two tables together, the trend is the same regardless if we approach the x-value 2 from the left or from the right.

numerical limit of function as x approaching 2

    If we ignore the DNE, we can clearly see that the y-values approach the same value whether we move from the left side or from the right side.

numerical limit of function as x approaching 2 with arrows

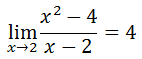
    The trend for the y-values is that they approach the value 4 as we get closer to the x-value 2. Hence, 4 is the limit. Here is the original problem with its appropriate solution.

solution of limit of function as x approaching 2

    ideo: Limits: Numerical Approach
    uiz: Limits: Numerical Approach


    Let us examine this limit.

limit of cosine function as x approaching 0

    This is another tough case. One reason is that it cannot be evaluated at the x-value 0. The other reason is because it is a peculiar function with a reciprocal argument within the cosine function.

    However, this limit can be calculated numerically with little problem. We have to create a table of values and then determine if a trend exists and what that trend is if it does exist. Here is the table with x-values filled in.

numerical limit of cosine function as x approaching 0

    Our next step requires us to plug in those x-values into the function to determine their respective y-values. We already know the y-value when the x-value is 0; it is undefined. Yet, here is the complete table. Note: this table is the result of calculating within radians.

numerical limit of cosine function as x approaching 0 filled in

    As we look at this table, we certainly see symmetry. The values on the right are mirror values of those on the left, but no numerical trend can be seen. If we carry our precision to even greater detail, we get this table of values.

more accurate numerical limit of cosine function as x approaching 0

    It becomes even clearer that even though there is symmetry within the table and that it is predictable in that regard, but no trend exists as we move closer to 0. The y-values fluctuate without headed toward any particular value. Therefore, the limit does not exist. We write the solution like so:

limit of function as x approaching -5 from left

    ideo: Limits: Numerical Approach
    uiz: Limits: Numerical Approach


    When dealing with limits of functions when we approach negative x-values, it is extremely common to create tables of values that have errors. For instance, if we wanted to evaluate this limit...

limit of function as x approaching -5 from left

...we would have to approach the x-value -5 from the left. We would set up our table like so.

numerical limit as x approaches -5 from left

    Placing the -5 on the right side of the table is necessary because we need to approach -5 from the left. As we get closer to -5, we can start with -5.1, which is to the left of -5.

numerical limit as x approaches -5 from left

    Next, we have to continue filling in values -- getting closer to -5.

numerical limit as x approaches -5 from left

    Typically, people get these values wrong for several reasons (but will not be discussed here).

    Let us also gather a table for this limit, which is the other side (right side) of the x-value -5.

limit of function as x approaching -5 from right

    Here is the table for this limit.

numerical limit as x approaches -5 from right

    The words of caution are to be extremely careful when crafting the x-values for these tables when dealing with negative x-values.

    If we place the left limit table and the right limit table together, we get this table.

numerical limit as x approaches -5 from right

    Be mindful of number order and precision. Knowledge of these two characteristics will help you create accurate tables for numerical analysis when calculating limits.

    ideo: Limits: Numerical Approach
    uiz: Limits: Numerical Approach


    Try this instructional video to learn this lesson.

    ideo: Limits: Numerical Approach


    Try this interactive quizmaster to determine if you understand the lesson.

    uiz: Limits: Numerical Approach


    Try these lessons, which are related to the sections above.

    esson: Functions
    esson: Graphing Sine, Cosine, and Tangent Functions
    esson: Limits of the Extreme
    esson: Limits of Ratios of Polynomials
    esson: Limits of Piecewise Functions
    esson: Limits by Factoring
    esson: Limits by Conjugates
    esson: Continuity
    esson: Sine Coefficient Limit Problem